国际进展关注
液态金属 硅胶压力传感器,逆发结罗
发布日期:2022-04-07 浏览次数:4048
液态金属Liquid metal,代表了一类在室温或接近室温时为液态,且具有高导电性的新材料,可在柔性和可穿戴传感器中,实现一系列电子应用。尤其是,目前诊断胃肠动力障碍的测压成本高昂,并且受制于复杂和笨重的仪器。这种测压评估胃肠gastrointestinal(GI)道的张力和收缩模式,却又是诊断病症的必须步骤。
近日,麻省理工学院Giovanni Traverso团队Kewang Nan一作在Nature Biomedical Engineering上发文,报道开发了一种廉价且易于制造的导管类生物传感器,该设备用于捕获在人类胃肠道动态范围内的测压数据。这种设备设计类似于Quipu,即安第斯Andean文明用来捕捉和传输信息的打结线,并且是由打结的压阻压力传感器组成,这些传感器是通过薄硅胶管注入液态金属(共晶镓铟)制成的。通过探索一系列打结配置,确定了最佳设计方案,其传感性能与用于胃肠道测压的商业设备相当,并在麻醉猪胃肠道多个解剖部位,验证了胃肠道运动传感主要性能。一次性和可定制的压阻导管,可以扩大胃肠道测压在低资源环境中的应用。
通过硅胶-液态金属压力传感器进行低成本胃肠测压,类似于奇普quipu。(小注:奇普quipu,是古代印加人一种结绳记事的方法,用来计数或者记录历史。由许多颜色的绳结编成的。这种结绳记事方法目前已经失传,复杂而隐秘)
图1奇普quipu


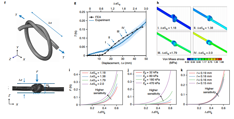
图2:提高传感器性能的实验和数值方法
图3:多路复用测量策略。
图4:奇普quipu用胃肠测压的体内演示。
图5:根据临床可用的压力传感器对奇普quipu进行基准测试。
该项研究,融合液态金属的应用潜力,实现了奇普Quipu结绳仿生,开发了新型液态金属压力传感器(Quilt),用于在人类胃肠道的动态范围内实现所需压力灵敏度。这种简单的制造方案,可以使用基本的工作台工具完成,使设备成本低于每厘米0.26美元。
从实用角度来看,一次性使用超低成本测压设备,有望将该技术扩展到资源有限的地区。即使在资源丰富的地区或机构中,这种一次性装置也可以进一步最小化交叉污染的风险,并增加预定病例的处理量,因为在病例之间不需要内置时间来进行装置净化。一次性导管的其他优点,包括避免了当前昂贵导管的重复维护和维修成本,以及当多用户导管需要维修时,最大限度地减少了临床护理中的潜在延迟。
原文链接:https://www.nature.com/articles/s41551-022-00859-5https://doi.org/10.1038/s41551-022-00859-5